Você está aqui: Página Inicial / Imagens dinamica / amido mol

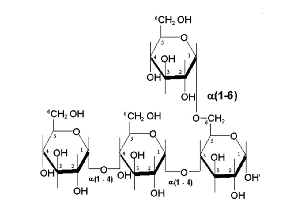
amido mol

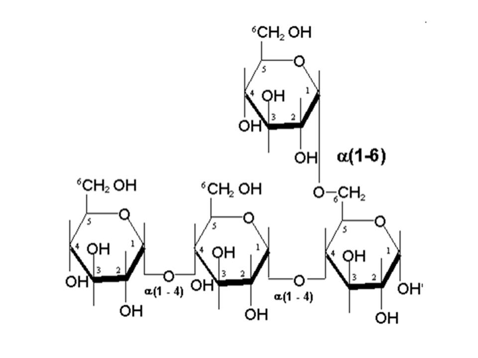
amido mol
Imagem no tamanho completo: 31 KB | Visualizar imagem Visão Baixar imagem Download
Navegação